WYNIKI ZAWODÓW Z ROKU 2019
WAE CW, SSB, RTTY | ARRL CW | ARRL SSB | ARRL RTTY | CQ WW RTTYIARU HF | CQ WW 160m | CQ WPX SSB | CQ WPX CW | CQ WPX RTTY
Russian DX | Russian DIGI | All Asian | ARRL 10M | CQ WW CW | CQ WW SSB
EU HF Contest | Oceania DX

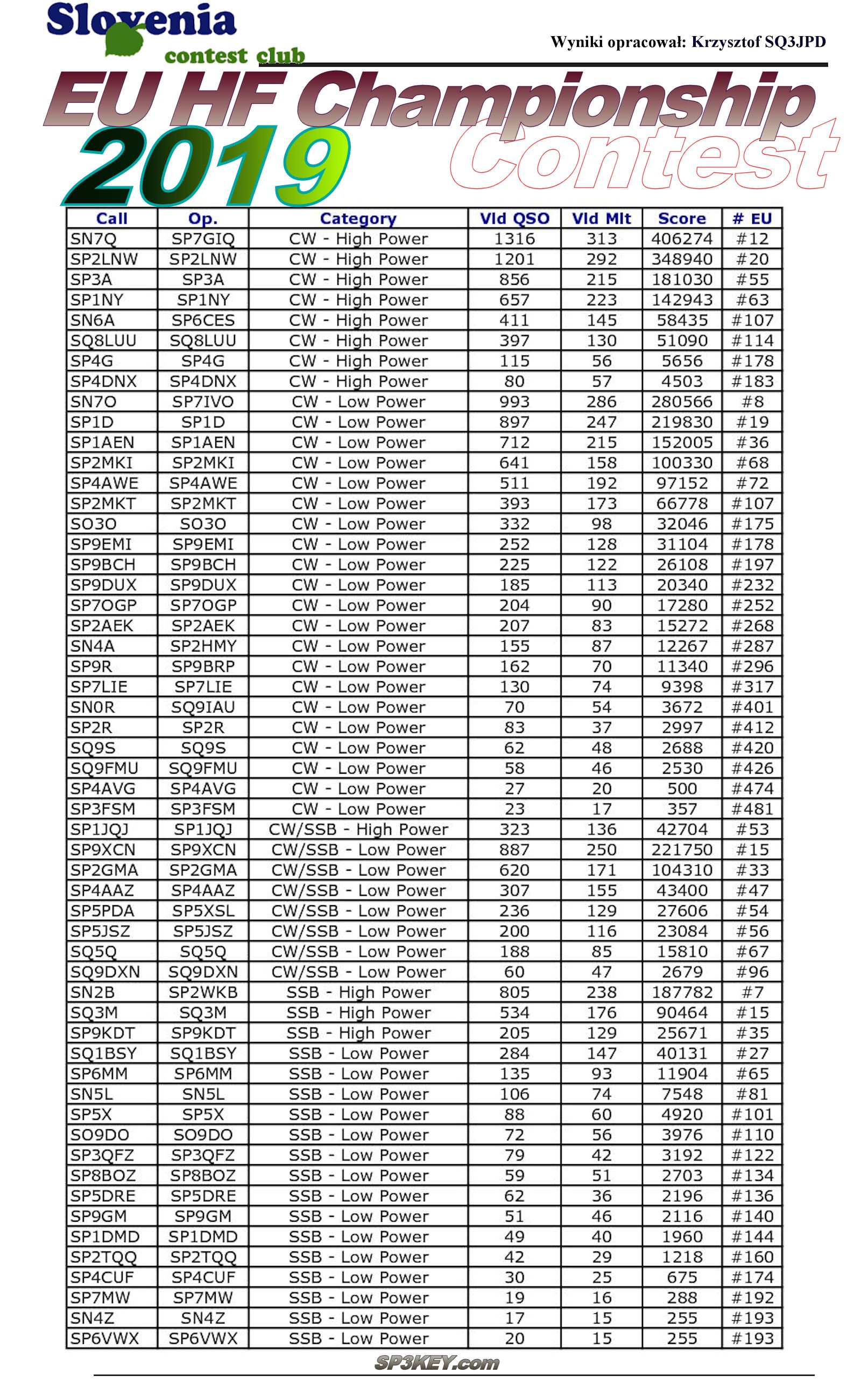
KLIKNIJ ABY POWIĘKSZYĆ
Aktualizacja: 15.08.2021 r. 13:34
e-mail: Krzysiek SQ3JPD

Powrót


SP EmCom ٱczno¶ć Kryzysowa PZK






